DNA The most beautiful experiment in biology Watson and Crick solved the structure of DNA and everyone lived happily ever after, right? Wrong. That was just the opening argument.
DNA What did Watson and Crick actually discover? History is written by victors, and that statement couldn't be more true than it is in the case of Watson and Crick's 'discovery' of the DNA double helix.
DNA Linus Pauling got the 3D structure of DNA wrong The kaleidoscopic image below is the triple helix Linus Pauling proposed as the structure of DNA in February 1953. Here's why he got it so wrong:
DNA A DNA diffraction pattern that was lost to history Elwyn Beighton and William Astbury generated a nearly flawless diffraction of B-DNA in 1951, a full year ahead of Franklin and Gosling. They never shared or published it.
DNA A Pile of Pennies The first 3D structure of DNA was published in 1938. It was generated by Florence Bell, a scientist you need to know.
DNA The 2D structure of DNA was solved by someone you've probably never heard of before Watson and Crick were the first to describe the structure of the DNA double helix. Their major contribution to science was, at its core, a synthesis of all of the best data available at the time.
Molecular Biology PCR has a more interesting history than you might have been told The method below has been cited more than 600,000 times and is one of the most important developments in the history of science.
NIPT Non-invasive prenatal testing is a big business. Here's how it got its start. The two gels below spawned a multi-billion dollar industry that didn't exist prior to their publication in 1997.
DNA The most famous picture in the history of genetics The most famous photo in the history of genetics wasn’t generated by Watson and Crick, but that didn’t stop them from using it to solve the structure of DNA.
Historical Paper Review There are more than 20 amino acids You might have been told that there are 20 amino acids. That’s a lie.
High-Throughput Sequencing The 'plus and minus' method: Fred Sanger's first attempt at DNA sequencing Frederick Sanger invented a famous DNA sequencing method. It's not the one pictured below (which he also invented).
Molecular Biology Jelly fish proteins started brightening up microscopy in 1994 In 1994, an obscure jellyfish protein was stuck into a worm. It has enlightened biology and medicine ever since.
Gene Expression The Lac Operon showed us that gene expression can be regulated 'If gene expression determines the function of a cell, it must be important to control that process?' Yes, very! Let me tell you about the PaJaMo experiment.
Molecular Biology Horseshoe crab blood to the rescue! Horseshoe crab blood is our first line of defense against endotoxin contamination of surgical tools and medical devices. Seriously.
Vaccines mRNA vaccines almost didn't happen It is estimated that COVID-19 vaccination has prevented over 20 million deaths worldwide. We can thank the dogged perseverance of a browbeaten scientist for that.
Diagnostics Early pregnancy tests were wild For the better part of 40 years, pregnancy tests were done by injecting urine into animals and seeing what happened. No, seriously!
Genomics Telomerase and how linear genomes attempt to stay long What if I told you that the ends of our chromosomes are a paradox and we didn't fully understand how human DNA was copied until 1989?
Epigenetics The discovery that X-inactivation is caused by a long non-coding RNA Biologically female mammals have two X chromosomes, but what might surprise you is that one of those X's is turned off.
Molecular Biology The isolation of insulin required a lot of trial and error Insulin: It was believed to exist, but everyone who tried to isolate it failed.
Chromatin The discovery of sex chromosomes was just as controversial as everything else in genetics Nettie Stevens, a former school teacher turned geneticist, discovered sex chromosomes in 1905. Here's her story:
Genetics The weird color patterns of corn kernels led to a major genetic discovery in 1950 While everyone else was distracted by the structure of DNA, Barbara McClintock was discovering a little thing called the transposable element.
Genetics It took 35 years for the first human Mendelian disease to be described Mendel first described his laws of genetic inheritance in 1865. They were promptly ignored for 35 years.
DNA The most basic rule of DNA was first described in 1950 A and T, and G and C are present in the same amounts in DNA. It’s the most basic rule of DNA. It’s also called Chargaff’s Rule.
DNA Is the genetic material protein or DNA? A blender decided. Deoxyribonucleic acid (DNA) is the genetic material, but early on, most of science thought the genetic material was protein. That changed in 1952.
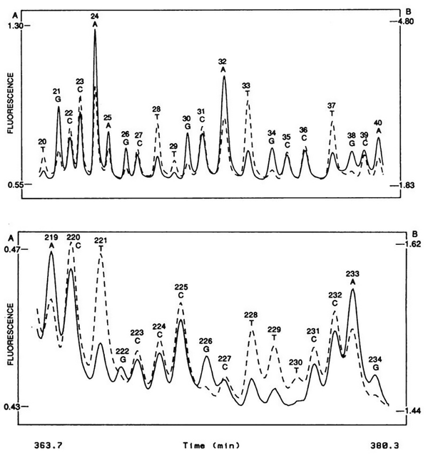
High-Throughput Sequencing Automated sanger sequencing's fluorescent beginnings We ‘completed’ the human genome in 2003, thanks mostly to commercial industrial engineering.